import numpy as np
import xarray as xr
import dask
import dask.array as daxr.set_options(display_style="text")<xarray.core.options.set_options at 0x77cabb853a60>
Create numpy based xarrays
time = np.array([4.453656e09, 4.453656e09])
baseline = np.array([0, 1])
frequency = np.array([1.281331e08, 1.281548e08, 1.281765e08, 1.281982e08])
pol = np.array(["XX", "XY", "YX", "YY"], dtype="<U2")
vis = xr.DataArray(
np.array(
[
[
[
[
0.0000000e00 + 0.0j,
0.0000000e00 + 0.0j,
0.0000000e00 + 0.0j,
0.0000000e00 + 0.0j,
],
[
0.0000000e00 + 0.0j,
0.0000000e00 + 0.0j,
0.0000000e00 + 0.0j,
0.0000000e00 + 0.0j,
],
[
0.0000000e00 + 0.0j,
0.0000000e00 + 0.0j,
0.0000000e00 + 0.0j,
0.0000000e00 + 0.0j,
],
[
0.0000000e00 + 0.0j,
0.0000000e00 + 0.0j,
0.0000000e00 + 0.0j,
0.0000000e00 + 0.0j,
],
],
[
[
2.4999046e01 - 0.61038834j,
6.7443332e-05 - 0.00118741j,
-5.8036228e-03 - 0.0012986j,
2.2591185e01 - 0.5300595j,
],
[
2.5040884e01 - 0.6130123j,
6.4265958e-05 - 0.0011829j,
-5.8168592e-03 - 0.00129384j,
2.2631207e01 - 0.5324733j,
],
[
2.5082985e01 - 0.6156461j,
6.1092280e-05 - 0.00117837j,
-5.8301669e-03 - 0.00128907j,
2.2671568e01 - 0.5348987j,
],
[
2.5125347e01 - 0.61828965j,
5.7922338e-05 - 0.00117383j,
-5.8435444e-03 - 0.00128428j,
2.2712265e01 - 0.5373354j,
],
],
],
[
[
[
0.0000000e00 + 0.0j,
0.0000000e00 + 0.0j,
0.0000000e00 + 0.0j,
0.0000000e00 + 0.0j,
],
[
0.0000000e00 + 0.0j,
0.0000000e00 + 0.0j,
0.0000000e00 + 0.0j,
0.0000000e00 + 0.0j,
],
[
0.0000000e00 + 0.0j,
0.0000000e00 + 0.0j,
0.0000000e00 + 0.0j,
0.0000000e00 + 0.0j,
],
[
0.0000000e00 + 0.0j,
0.0000000e00 + 0.0j,
0.0000000e00 + 0.0j,
0.0000000e00 + 0.0j,
],
],
[
[
2.5046528e01 - 0.61316466j,
-3.5638007e-04 - 0.00116292j,
-6.2457677e-03 - 0.0012674j,
2.2634113e01 - 0.532508j,
],
[
2.5088444e01 - 0.6157959j,
-3.6030103e-04 - 0.00115835j,
-6.2597822e-03 - 0.00126258j,
2.2674210e01 - 0.5349287j,
],
[
2.5130627e01 - 0.61843705j,
-3.6422379e-04 - 0.00115377j,
-6.2738727e-03 - 0.00125774j,
2.2714649e01 - 0.5373609j,
],
[
2.5173067e01 - 0.62108797j,
-3.6814815e-04 - 0.00114917j,
-6.2880386e-03 - 0.00125289j,
2.2755421e01 - 0.5398045j,
],
],
],
],
dtype=np.complex64,
),
coords={"time": time, "baseline": baseline, "frequency": frequency, "pol": pol},
dims=("time", "baseline", "frequency", "pol"),
attrs={"units": "Jy"},
)
weight = xr.DataArray(
np.array([[[[0., 0., 0., 0.],
[0., 0., 0., 0.],
[0., 0., 0., 0.],
[0., 0., 0., 0.]],
[[1., 1., 1., 1.],
[1., 1., 1., 1.],
[1., 1., 1., 1.],
[1., 1., 1., 1.]]],
[[[0., 0., 0., 0.],
[0., 0., 0., 0.],
[0., 0., 0., 0.],
[0., 0., 0., 0.]],
[[1., 1., 1., 1.],
[1., 1., 1., 1.],
[1., 1., 1., 1.],
[1., 1., 1., 1.]]]], dtype=np.float32),
coords={"time": time, "baseline": baseline, "frequency": frequency, "pol": pol},
dims=("time", "baseline", "frequency", "pol"),
)
spatial = np.array(["u", "v", "w"], dtype="<U1")
uvw = xr.DataArray(
np.array(
[
[[0.0, 0.0, 0.0], [59.78163629, 23.1224295, 1.43306931]],
[[0.0, 0.0, 0.0], [59.78413612, 23.11681138, 1.41935589]],
]
),
coords={"time": time, "baseline": baseline, "spatial": spatial},
dims=("time", "baseline", "spatial"),
attrs={"units": "m"},
)
ds = xr.Dataset(
data_vars={
"vis": vis,
"weight": weight,
"uvw": uvw
},
coords={
"time": time,
"baseline": baseline,
"frequency": frequency,
"spatial": spatial
}
)
ds<xarray.Dataset> Size: 972B
Dimensions: (time: 2, baseline: 2, frequency: 4, pol: 4, spatial: 3)
Coordinates:
* time (time) float64 16B 4.454e+09 4.454e+09
* baseline (baseline) int64 16B 0 1
* frequency (frequency) float64 32B 1.281e+08 1.282e+08 1.282e+08 1.282e+08
* pol (pol) <U2 32B 'XX' 'XY' 'YX' 'YY'
* spatial (spatial) <U1 12B 'u' 'v' 'w'
Data variables:
vis (time, baseline, frequency, pol) complex64 512B 0j ... (22.755...
weight (time, baseline, frequency, pol) float32 256B 0.0 0.0 ... 1.0 1.0
uvw (time, baseline, spatial) float64 96B 0.0 0.0 0.0 ... 23.12 1.419
Dask arrays
vis_dask = vis.chunk({"frequency": 2})
vis_dask<xarray.DataArray (time: 2, baseline: 2, frequency: 4, pol: 4)> Size: 512B
dask.array<xarray-<this-array>, shape=(2, 2, 4, 4), dtype=complex64, chunksize=(2, 2, 2, 4), chunktype=numpy.ndarray>
Coordinates:
* time (time) float64 16B 4.454e+09 4.454e+09
* baseline (baseline) int64 16B 0 1
* frequency (frequency) float64 32B 1.281e+08 1.282e+08 1.282e+08 1.282e+08
* pol (pol) <U2 32B 'XX' 'XY' 'YX' 'YY'
Attributes:
units: Jy
weight_dask = weight.chunk({"frequency": 2})
weight_dask<xarray.DataArray (time: 2, baseline: 2, frequency: 4, pol: 4)> Size: 256B dask.array<xarray-<this-array>, shape=(2, 2, 4, 4), dtype=float32, chunksize=(2, 2, 2, 4), chunktype=numpy.ndarray> Coordinates: * time (time) float64 16B 4.454e+09 4.454e+09 * baseline (baseline) int64 16B 0 1 * frequency (frequency) float64 32B 1.281e+08 1.282e+08 1.282e+08 1.282e+08 * pol (pol) <U2 32B 'XX' 'XY' 'YX' 'YY'
ufunc functions
def apply_weights_ufunc(vis_arr, weights_arr):
print("------------ START --------------")
print("========== FIRST START ==========")
print(type(vis_arr))
print(vis_arr.shape)
# print(vis_arr)
print("========== FIRST END ============")
print("========= SECOND START ==========")
print(type(weights_arr))
print(weights_arr.shape)
print(weights_arr)
print("========= SECOND END ============")
result = np.multiply(vis_arr, weights_arr)
print("------------ END --------------")
return resultProviding two xarrays with same dimensions
result = xr.apply_ufunc(
apply_weights_ufunc,
vis_dask, weight_dask,
dask="parallelized",
output_dtypes=[vis_dask.dtype]
)
result.data.visualize()
Observations
- custom function gets both arrays data in chunks.
- As there are two chunks on frequency dimension for both arrays, custom function gets called two times with chunks.
- custom function can run parallely.
result.compute()------------ START --------------
========== FIRST START ==========
<class 'numpy.ndarray'>
(2, 2, 2, 4)
========== FIRST END ============
========= SECOND START ==========
<class 'numpy.ndarray'>
(2, 2, 2, 4)
[[[[0. 0. 0. 0.]
[0. 0. 0. 0.]]
[[1. 1. 1. 1.]
[1. 1. 1. 1.]]]
[[[0. 0. 0. 0.]
[0. 0. 0. 0.]]
[[1. 1. 1. 1.]
[1. 1. 1. 1.]]]]
========= SECOND END ============
------------ END --------------
------------ START --------------
========== FIRST START ==========
<class 'numpy.ndarray'>
(2, 2, 2, 4)
========== FIRST END ============
========= SECOND START ==========
<class 'numpy.ndarray'>
(2, 2, 2, 4)
[[[[0. 0. 0. 0.]
[0. 0. 0. 0.]]
[[1. 1. 1. 1.]
[1. 1. 1. 1.]]]
[[[0. 0. 0. 0.]
[0. 0. 0. 0.]]
[[1. 1. 1. 1.]
[1. 1. 1. 1.]]]]
========= SECOND END ============
------------ END --------------
<xarray.DataArray (time: 2, baseline: 2, frequency: 4, pol: 4)> Size: 512B
array([[[[ 0.0000000e+00+0.j , 0.0000000e+00+0.j ,
0.0000000e+00+0.j , 0.0000000e+00+0.j ],
[ 0.0000000e+00+0.j , 0.0000000e+00+0.j ,
0.0000000e+00+0.j , 0.0000000e+00+0.j ],
[ 0.0000000e+00+0.j , 0.0000000e+00+0.j ,
0.0000000e+00+0.j , 0.0000000e+00+0.j ],
[ 0.0000000e+00+0.j , 0.0000000e+00+0.j ,
0.0000000e+00+0.j , 0.0000000e+00+0.j ]],
[[ 2.4999046e+01-0.61038834j, 6.7443332e-05-0.00118741j,
-5.8036228e-03-0.0012986j , 2.2591185e+01-0.5300595j ],
[ 2.5040884e+01-0.6130123j , 6.4265958e-05-0.0011829j ,
-5.8168592e-03-0.00129384j, 2.2631207e+01-0.5324733j ],
[ 2.5082985e+01-0.6156461j , 6.1092280e-05-0.00117837j,
-5.8301669e-03-0.00128907j, 2.2671568e+01-0.5348987j ],
[ 2.5125347e+01-0.61828965j, 5.7922338e-05-0.00117383j,
-5.8435444e-03-0.00128428j, 2.2712265e+01-0.5373354j ]]],
[[[ 0.0000000e+00+0.j , 0.0000000e+00+0.j ,
0.0000000e+00+0.j , 0.0000000e+00+0.j ],
[ 0.0000000e+00+0.j , 0.0000000e+00+0.j ,
0.0000000e+00+0.j , 0.0000000e+00+0.j ],
[ 0.0000000e+00+0.j , 0.0000000e+00+0.j ,
0.0000000e+00+0.j , 0.0000000e+00+0.j ],
[ 0.0000000e+00+0.j , 0.0000000e+00+0.j ,
0.0000000e+00+0.j , 0.0000000e+00+0.j ]],
[[ 2.5046528e+01-0.61316466j, -3.5638007e-04-0.00116292j,
-6.2457677e-03-0.0012674j , 2.2634113e+01-0.532508j ],
[ 2.5088444e+01-0.6157959j , -3.6030103e-04-0.00115835j,
-6.2597822e-03-0.00126258j, 2.2674210e+01-0.5349287j ],
[ 2.5130627e+01-0.61843705j, -3.6422379e-04-0.00115377j,
-6.2738727e-03-0.00125774j, 2.2714649e+01-0.5373609j ],
[ 2.5173067e+01-0.62108797j, -3.6814815e-04-0.00114917j,
-6.2880386e-03-0.00125289j, 2.2755421e+01-0.5398045j ]]]],
dtype=complex64)
Coordinates:
* time (time) float64 16B 4.454e+09 4.454e+09
* baseline (baseline) int64 16B 0 1
* frequency (frequency) float64 32B 1.281e+08 1.282e+08 1.282e+08 1.282e+08
* pol (pol) <U2 32B 'XX' 'XY' 'YX' 'YY'
------------ START -------------------------- START --------------
========== FIRST START ==========
<class 'numpy.ndarray'>
(2, 2, 2, 4, 1)
========== FIRST END ============
========= SECOND START ==========
<class 'numpy.ndarray'>
(2, 2, 1, 1, 3)
[[[[[ 0. 0. 0. ]]]
[[[59.78163629 23.1224295 1.43306931]]]]
[[[[ 0. 0. 0. ]]]
[[[59.78413612 23.11681138 1.41935589]]]]]
========= SECOND END ============
------------ END --------------
========== FIRST START ==========
<class 'numpy.ndarray'>
(2, 2, 2, 4, 1)
========== FIRST END ============
========= SECOND START ==========
<class 'numpy.ndarray'>
(2, 2, 1, 1, 3)
[[[[[ 0. 0. 0. ]]]
[[[59.78163629 23.1224295 1.43306931]]]]
[[[[ 0. 0. 0. ]]]
[[[59.78413612 23.11681138 1.41935589]]]]]
========= SECOND END ============
------------ END --------------
apply_ufunc with DataArrays
Passing xarrays with different dimensions
result = xr.apply_ufunc(
apply_weights_ufunc,
vis_dask, uvw,
dask="parallelized",
output_dtypes=[vis_dask.dtype]
)
result.data.visualize()
result.compute()------------ START --------------
========== FIRST START ==========
<class 'numpy.ndarray'>
(2, 2, 2, 4, 1)
========== FIRST END ============
========= SECOND START ==========
<class 'numpy.ndarray'>
(2, 2, 1, 1, 3)
[[[[[ 0. 0. 0. ]]]
[[[59.78163629 23.1224295 1.43306931]]]]
[[[[ 0. 0. 0. ]]]
[[[59.78413612 23.11681138 1.41935589]]]]]
========= SECOND END ============
------------ END --------------
------------ START --------------
========== FIRST START ==========
<class 'numpy.ndarray'>
(2, 2, 2, 4, 1)
========== FIRST END ============
========= SECOND START ==========
<class 'numpy.ndarray'>
(2, 2, 1, 1, 3)
[[[[[ 0. 0. 0. ]]]
[[[59.78163629 23.1224295 1.43306931]]]]
[[[[ 0. 0. 0. ]]]
[[[59.78413612 23.11681138 1.41935589]]]]]
========= SECOND END ============
------------ END --------------
<xarray.DataArray (time: 2, baseline: 2, frequency: 4, pol: 4, uvw: 3)> Size: 3kB
array([[[[[ 0.00000000e+00+0.00000000e+00j,
0.00000000e+00+0.00000000e+00j,
0.00000000e+00+0.00000000e+00j],
[ 0.00000000e+00+0.00000000e+00j,
0.00000000e+00+0.00000000e+00j,
0.00000000e+00+0.00000000e+00j],
[ 0.00000000e+00+0.00000000e+00j,
0.00000000e+00+0.00000000e+00j,
0.00000000e+00+0.00000000e+00j],
[ 0.00000000e+00+0.00000000e+00j,
0.00000000e+00+0.00000000e+00j,
0.00000000e+00+0.00000000e+00j]],
[[ 0.00000000e+00+0.00000000e+00j,
0.00000000e+00+0.00000000e+00j,
0.00000000e+00+0.00000000e+00j],
[ 0.00000000e+00+0.00000000e+00j,
0.00000000e+00+0.00000000e+00j,
0.00000000e+00+0.00000000e+00j],
[ 0.00000000e+00+0.00000000e+00j,
...
-5.16963176e-04-1.63761027e-03j],
[-3.75078059e-01-7.51928970e-02j,
-1.45031931e-01-2.90749374e-02j,
-8.90485815e-03-1.78518062e-03j],
[ 1.35797568e+03-3.21256576e+01j,
5.25090261e+02-1.24220707e+01j,
3.22401711e+01-7.62706368e-01j]],
[[ 1.50495007e+03-3.71312076e+01j,
5.81921044e+02-1.43575734e+01j,
3.57295410e+01-8.81544866e-01j],
[-2.20094189e-02-6.87021348e-02j,
-8.51041127e-03-2.65651458e-02j,
-5.22533240e-04-1.63108119e-03j],
[-3.75924954e-01-7.49029453e-02j,
-1.45359401e-01-2.89628214e-02j,
-8.92496458e-03-1.77829678e-03j],
[ 1.36041317e+03-3.22717468e+01j,
5.26032768e+02-1.24785592e+01j,
3.22980404e+01-7.66174722e-01j]]]]])
Coordinates:
* time (time) float64 16B 4.454e+09 4.454e+09
* baseline (baseline) int64 16B 0 1
* frequency (frequency) float64 32B 1.281e+08 1.282e+08 1.282e+08 1.282e+08
* pol (pol) <U2 32B 'XX' 'XY' 'YX' 'YY'
* uvw (uvw) <U1 12B 'u' 'v' 'w'
Observations
As first argument is chunked and second argument not, custom function gets chunk for first array and whole full array for second argument.
Passing xarrays chunked on different dimensions
weight_dask_time = weight.chunk({"time": 1})
weight_dask_time.chunksizesFrozen({'time': (1, 1), 'baseline': (2,), 'frequency': (4,), 'pol': (4,)})
result = xr.apply_ufunc(
apply_weights_ufunc,
vis_dask, weight_dask_time,
dask="parallelized"
)
result.data.visualize()------------ START --------------
========== FIRST START ==========
<class 'numpy.ndarray'>
(1, 1, 1, 1)
========== FIRST END ============
========= SECOND START ==========
<class 'numpy.ndarray'>
(1, 1, 1, 1)
[[[[1.]]]]
========= SECOND END ============
------------ END --------------

result.compute()------------ START --------------
========== FIRST START ==========
<class 'numpy.ndarray'>
(1, 2, 2, 4)
========== FIRST END ============
========= SECOND START ==========
<class 'numpy.ndarray'>
(1, 2, 2, 4)
[[[[0. 0. 0. 0.]
[0. 0. 0. 0.]]
[[1. 1. 1. 1.]
[1. 1. 1. 1.]]]]
========= SECOND END ============
------------ END --------------
------------ START --------------
========== FIRST START ==========
<class 'numpy.ndarray'>
(1, 2, 2, 4)
========== FIRST END ============
========= SECOND START ==========
<class 'numpy.ndarray'>
(1, 2, 2, 4)
[[[[0. 0. 0. 0.]
[0. 0. 0. 0.]]
[[1. 1. 1. 1.]
[1. 1. 1. 1.]]]]
========= SECOND END ============
------------ END --------------
------------ START --------------
========== FIRST START ==========
<class 'numpy.ndarray'>
(1, 2, 2, 4)
========== FIRST END ============
========= SECOND START ==========
<class 'numpy.ndarray'>
(1, 2, 2, 4)
[[[[0. 0. 0. 0.]
[0. 0. 0. 0.]]
[[1. 1. 1. 1.]
[1. 1. 1. 1.]]]]
========= SECOND END ============
------------ END --------------
------------ START --------------
========== FIRST START ==========
<class 'numpy.ndarray'>
(1, 2, 2, 4)
========== FIRST END ============
========= SECOND START ==========
<class 'numpy.ndarray'>
(1, 2, 2, 4)
[[[[0. 0. 0. 0.]
[0. 0. 0. 0.]]
[[1. 1. 1. 1.]
[1. 1. 1. 1.]]]]
========= SECOND END ============
------------ END --------------
<xarray.DataArray (time: 2, baseline: 2, frequency: 4, pol: 4)> Size: 512B
array([[[[ 0.0000000e+00+0.j , 0.0000000e+00+0.j ,
0.0000000e+00+0.j , 0.0000000e+00+0.j ],
[ 0.0000000e+00+0.j , 0.0000000e+00+0.j ,
0.0000000e+00+0.j , 0.0000000e+00+0.j ],
[ 0.0000000e+00+0.j , 0.0000000e+00+0.j ,
0.0000000e+00+0.j , 0.0000000e+00+0.j ],
[ 0.0000000e+00+0.j , 0.0000000e+00+0.j ,
0.0000000e+00+0.j , 0.0000000e+00+0.j ]],
[[ 2.4999046e+01-0.61038834j, 6.7443332e-05-0.00118741j,
-5.8036228e-03-0.0012986j , 2.2591185e+01-0.5300595j ],
[ 2.5040884e+01-0.6130123j , 6.4265958e-05-0.0011829j ,
-5.8168592e-03-0.00129384j, 2.2631207e+01-0.5324733j ],
[ 2.5082985e+01-0.6156461j , 6.1092280e-05-0.00117837j,
-5.8301669e-03-0.00128907j, 2.2671568e+01-0.5348987j ],
[ 2.5125347e+01-0.61828965j, 5.7922338e-05-0.00117383j,
-5.8435444e-03-0.00128428j, 2.2712265e+01-0.5373354j ]]],
[[[ 0.0000000e+00+0.j , 0.0000000e+00+0.j ,
0.0000000e+00+0.j , 0.0000000e+00+0.j ],
[ 0.0000000e+00+0.j , 0.0000000e+00+0.j ,
0.0000000e+00+0.j , 0.0000000e+00+0.j ],
[ 0.0000000e+00+0.j , 0.0000000e+00+0.j ,
0.0000000e+00+0.j , 0.0000000e+00+0.j ],
[ 0.0000000e+00+0.j , 0.0000000e+00+0.j ,
0.0000000e+00+0.j , 0.0000000e+00+0.j ]],
[[ 2.5046528e+01-0.61316466j, -3.5638007e-04-0.00116292j,
-6.2457677e-03-0.0012674j , 2.2634113e+01-0.532508j ],
[ 2.5088444e+01-0.6157959j , -3.6030103e-04-0.00115835j,
-6.2597822e-03-0.00126258j, 2.2674210e+01-0.5349287j ],
[ 2.5130627e+01-0.61843705j, -3.6422379e-04-0.00115377j,
-6.2738727e-03-0.00125774j, 2.2714649e+01-0.5373609j ],
[ 2.5173067e+01-0.62108797j, -3.6814815e-04-0.00114917j,
-6.2880386e-03-0.00125289j, 2.2755421e+01-0.5398045j ]]]],
dtype=complex64)
Coordinates:
* time (time) float64 16B 4.454e+09 4.454e+09
* baseline (baseline) int64 16B 0 1
* frequency (frequency) float64 32B 1.281e+08 1.282e+08 1.282e+08 1.282e+08
* pol (pol) <U2 32B 'XX' 'XY' 'YX' 'YY'
Observations
- First array has two chunks on frequency, second again has two chunks but on time.
apply_ufuncrechunks each chunk.vis_dask’s chunks which chunked on frequency get rechunked on time. It gives 4 more chunks with chunked on time.- ‘weight_dask_time`‘s chunks which chunked on time get rechunked on frequency. It gives 4 more chunks with chunked on frequency.
Chunks for vis_dask and chunks for weight_dask_time are mapped correctly and passed to custom function.
vis_dask weight_dask_time
--------- ---------------
(0,0,0,0) -> (0,0,0,0)
(0,0,1,0) -> (0,0,1,0)
(1,0,0,0) -> (1,0,0,0)
(1,0,1,0) -> (1,0,1,0)
- So, custom function gets called four times
apply_ufunc With Dataset
ds_dask = ds.chunk({"frequency": 2})
ds_dask.chunksizesFrozen({'time': (2,), 'baseline': (2,), 'frequency': (2, 2), 'pol': (4,), 'spatial': (3,)})
def add_value_ufunc(arr):
print("------------ START --------------")
print(type(arr))
print(arr.shape)
print("------------ END --------------")
return arr + 2result = xr.apply_ufunc(add_value_ufunc, ds_dask, dask="allowed")
result------------ START --------------
<class 'dask.array.core.Array'>
(2, 2, 4, 4)
------------ END --------------
------------ START --------------
<class 'dask.array.core.Array'>
(2, 2, 4, 4)
------------ END --------------
------------ START --------------
<class 'dask.array.core.Array'>
(2, 2, 3)
------------ END --------------
<xarray.Dataset> Size: 972B
Dimensions: (time: 2, baseline: 2, frequency: 4, pol: 4, spatial: 3)
Coordinates:
* time (time) float64 16B 4.454e+09 4.454e+09
* baseline (baseline) int64 16B 0 1
* frequency (frequency) float64 32B 1.281e+08 1.282e+08 1.282e+08 1.282e+08
* pol (pol) <U2 32B 'XX' 'XY' 'YX' 'YY'
* spatial (spatial) <U1 12B 'u' 'v' 'w'
Data variables:
vis (time, baseline, frequency, pol) complex64 512B dask.array<chunksize=(2, 2, 2, 4), meta=np.ndarray>
weight (time, baseline, frequency, pol) float32 256B dask.array<chunksize=(2, 2, 2, 4), meta=np.ndarray>
uvw (time, baseline, spatial) float64 96B dask.array<chunksize=(2, 2, 3), meta=np.ndarray>
Observations
- Custom function is applied on each underlying dask array.
- custom function gets the dask array.
- apply_ufunc creates back dataset with resulting dask arrays.
result = xr.apply_ufunc(add_value_ufunc, ds_dask, dask="parallelized")------------ START --------------
<class 'numpy.ndarray'>
(1, 1, 1, 1)
------------ END --------------
------------ START --------------
<class 'numpy.ndarray'>
(1, 1, 1, 1)
------------ END --------------
------------ START --------------
<class 'numpy.ndarray'>
(1, 1, 1)
------------ END --------------
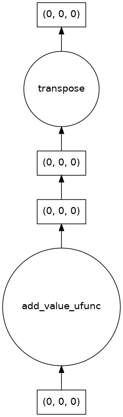
result.vis.data.visualize()
result.weight.data.visualize()
result.uvw.data.visualize()
Observations
- Custom function is executed on each DataArray.
- If custom function can’t handle dask array, using
"dask=parallelized",apply_ufuncpasses chunks to custom function as explained in previous sections. (Passing xarrays with different dimensions) apply_ufunccreates back dataset.
Dask Cluster (Optional)
use_dask = False
if use_dask:
from distributed import Client, LocalCluster, performance_report
if "local_cluster" not in globals():
local_cluster = LocalCluster(
n_workers=2, threads_per_worker=1, dashboard_address=":5050"
)
if "dask_client" not in globals():
dask_client = local_cluster.get_client()
print(local_cluster.dashboard_link)