import dask
from dask.graph_manipulation import bind
import graphviz
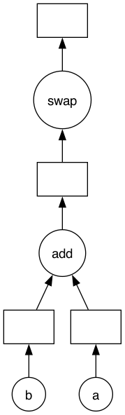
Adding task with side effects
DATA = []
@dask.delayed
def inc(x):
return x + 1
@dask.delayed
def add_data(x):
DATA.append(x)
@dask.delayed
def sum_data(x):
return sum(DATA) + x
a = inc(1)
b = add_data(a)
c = inc(3)
d = add_data(c)
e = inc(5)
f = bind(sum_data, [b, d])(e)
dask.visualize(f)

f.compute()
12
- Dask provides bind method to add task with side effects
Dask delay inside delayed object
Case 1
@dask.delayed
def a():
return 1
@dask.delayed
def b():
return 2
@dask.delayed
def c():
return a + b
dask.visualize(c())

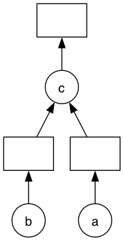
Case 2
@dask.delayed
def a():
return 1
@dask.delayed
def b():
return 2
@dask.delayed
def c(a, b):
print("In c")
return a + b
z = c(a(), b())
dask.visualize(z)

Case 3
@dask.delayed
def a():
return 1
@dask.delayed
def b():
return 2
def c(a, b):
print("Inside c")
c = a + b
return 1 + c
z = c(a(), b())
dask.visualize(z)
Inside c

- Dask task graph shows the flow of input going into task and output coming from it.
- If a task is taking dask delayed as input, it is shown.
- If a task is internally consuming a dask delayed, it is not shown in the graph.